




氟塑料離心泵又稱其為塑料離心泵、襯氟離心泵、耐腐蝕離心泵,IHF-J氟塑料離心泵長支架型和短支架型。氟塑料離心泵另有:IHF-D短支架型、FSB-J長支架型、FSB-D短支架型、GDF立式管道離心泵。 IHF-J氟塑料離心泵按照國標工藝標準設計制造,是本公司全新升級產品,材質采用鋼襯氟塑料,可以輸送任意濃度的腐蝕性介質,特點是外殼鑄鋼,可以承受管道壓力,過流部件采用內襯耐腐蝕性能材料氟塑料材質制成,性能優越,是現在化工、環保、醫藥、造紙等需要輸送腐蝕性介質場合的重要組成部分。
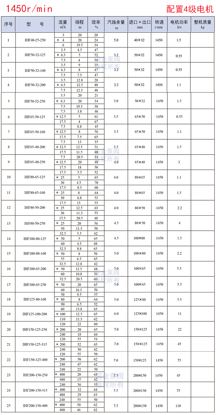
皖金泵閥氟塑料離心泵主要參數:
流量范圍:1m³/h-450m³/h
揚程范圍:5m-80m
功率范圍:0.55kw-110kw
適用介質:任意濃度的酸、堿、鹽、有機溶劑等
標準運行溫度:-20℃—150℃ 100℃以上采用耐高溫材料,詳情咨詢我公司。
我公司可針對實際工況,選擇不同的配置,提供準確的解決方案。技術咨詢請撥全國服務熱線:0563-5511202













![]()